


- 產品概述
- 安裝尺寸
- 應用領域
- 型號意義
150QJ系列深井潛水泵產品概況:
150QJ深井泵主要用于深井提水、增壓,它廣泛適用于農田灌溉、城鄉生活區、工礦企業給排水、建筑工程降水、河流、水庫、噴泉、制冷系統、溫泉浴場、綠化等各種水利工程設施。其主要特點是電機和水泵連為一體潛入水中工作,具有使用、安裝、維護方便、根據不同要求,可提供不銹鋼鑄造、不銹鋼沖壓焊接、鑄銅、鑄鐵等不同材質。該水泵對外徑具有嚴格限制,為水潤滑,不會出現電機密封泄露,污染水源的情況。
使用條件:
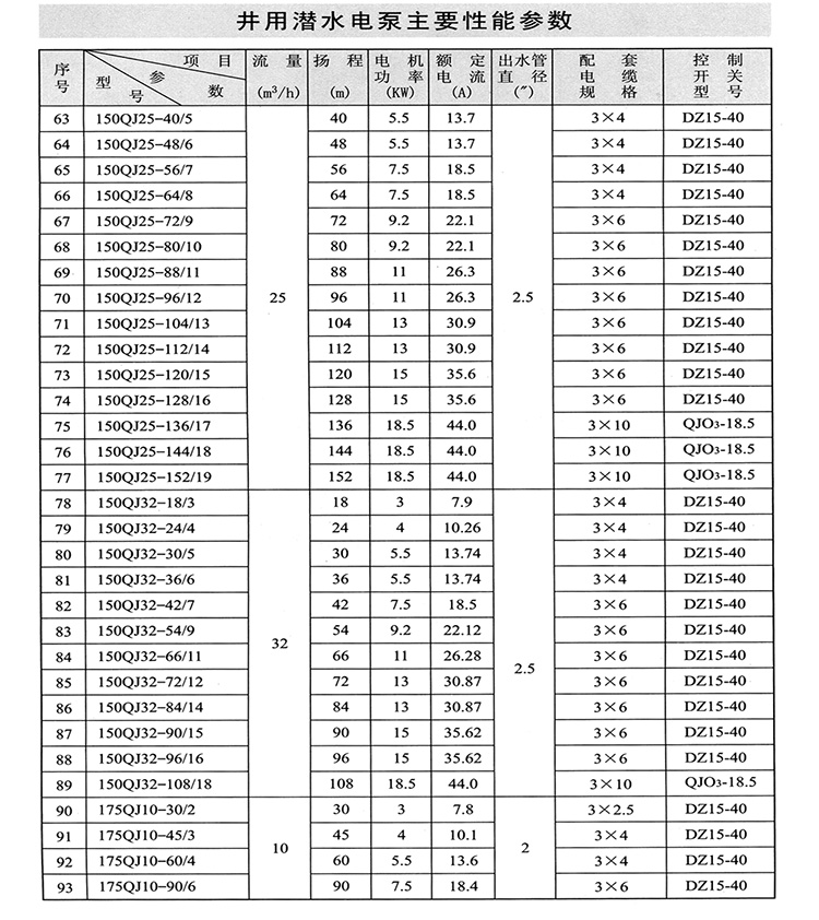
電源:380V/50Hz
水質:水溫不高于20攝氏度(耐熱型不高于80攝氏度)。
固體物含量(按質量計)不大于0.01%
酸堿度(PH值)6.5~8.5
硫化氫含量不大于1.5mg/L
氯離子含量不大于400mg/L
型號含義:
產品選型參數:
允許介質范圍
2:允許工作水溫范圍+5至+25℃
3:固體雜質含量(質量比)不大于0.01%
4:PH值(酸堿度)6.5-8.5
5:硫化氫的含量不大于1.5mg/L
6: 氯離子的含量不大于400mg/L
7: 機組必須完全侵沒水中工作。
四、電機參數
潛水電機為清水潤滑,使用前必須給電機腔內注滿潔凈的清水,(注:一定要注滿否則將減少電機的使用壽命)如果忘記加水電機將迅速燒壞。
電機防護等級:IPX8
五、電源:
380V/50HZ 660V/50HZ
如果客戶需要特殊電壓或特殊頻率時需要提前告知我們。
六、材料:
葉輪:鑄鐵HT200,或錫青銅(各種牌號)如:ZCuSn3Zn8Pb6Ni1
泵殼:鑄鐵HT200,或不銹鋼如:2Gr13.304
泵軸:冷拉鋼鍍鉻,或不銹鋼2Gr13(1050℃調質處理,加強扭矩)
電機密封:橡膠密封O形環;機器密封.
電機膨脹調節囊橡膠材質。
七、設備優點:
在工廠的精心組裝保證了現場迅速可靠的安裝
采用多級葉輪,噪音極小
內裝的止回閥,防治水錘的沖擊。
單級揚程高,可降低整個機組的高度增加運轉的穩定性,泵軸直徑為φ42mm增加了泵軸的抗扭性能。軸瓦采用純天然橡膠材料制成更加耐磨,并配有進口材料制成的硬質軸瓦。
- 上一個產品: 125QJ系列深井潛水泵
- 下一個產品: 175QJ系列深井潛水泵